
https://www.idec.or.kr/edu/apply/view/?&type=list&no=1953


가해진 전압이 low level injection
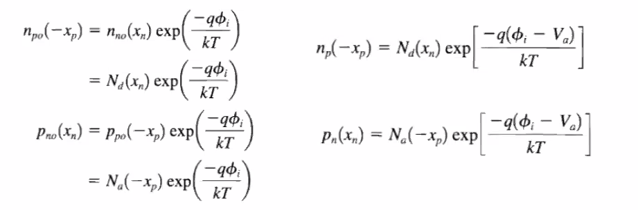
n_p0는 p타입지역에 있는 전자 = 아래 그림의 -xp쪽 전자
n_n0는 n타입의 electron 농도 = Nd로 표시
p_p0는 p타입쪽의 홀


n지역에 있는 홀의 농도가 시간에 따라 얼마나 변화하는지 round pn / round t

n쪽 홀의 농도의 분포
x가 클수록 홀은 점점 줄어든다
B exp 항은 별 의미가 없다
A exp항이 의미있음

diffusion length에 비해 길거나 짧을 때
Long base , Short base



recombination이 되기 전에 이미 diffuse된다
lifetime이 무한히 늘어난다


diffusion에 의해서 흐르는 건 아니고
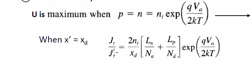
space charge region에서도 흐르므로 이에 대해서 알아보자.
p = n = ni exp일때 maximum이 된다.

1에 비해 훨씬 크다고 보면
간단하게 정리 가능
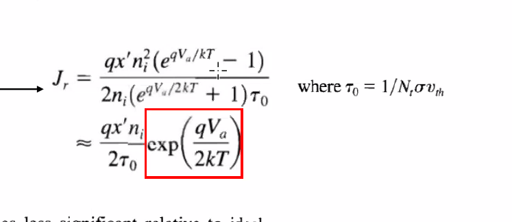
forward bias가 걸릴 때

Jr은 큰 고려대상이 아니다



(1) n지역에서 forward bias가 걸렸을때 p지역으로부터 들어오는 홀이다 - 제일 중요
(2) 마이너리티 홀이 디퓨전되어 들어오면서 전자와 만나 리콤바인
(3) p지역에도 minory carrier인 electron이 들어옴


12345 시간 순서
y축 홀 농도의 분포
charge들이 점점 축적됨
시간에 따른 전압을 보면 어느정도까지는 증가하다가 (0.7V까지) 일정하게 유지
홀의 원천을 끊어버리면 역 바이어스
점점 홀을 recombine하면서 줄게 됨
4번까지는 역방향 전류는 거의 외부 회로에 의해 일정하게 흐름

1번 공정 아이디어 impurity를 주입해서 lifetime을 줄일 수 있음 -> 다른 소자들의 품질에 영향을 주므로 권고되지 않는다
2번 설계 아이디어 전류를 줄이는 방법 - schottky 다이오드를 옆에 연결
pn다이오드로 들어가는 전류의 양이 제한될 것이다
'전공 > 반도체소자' 카테고리의 다른 글
| [📚세미피디아] Fe FET란? (0) | 2024.04.14 |
|---|---|
| 0411 IDEC 강의 반도체 소자 (2) - MOS Charge Control (0) | 2024.04.11 |